
Tentukan nilai limit fungsi aljabar rasional berikut!
Daftar Isi
Limit fungsi aljabar
Soal
-
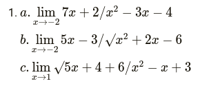
$ a. \lim\limits_{x\to -2} 7x + 2 / x^2-3x-4 $
$ b. \lim\limits_{x\to -2} 5x - 3 / √x^2+2x-6 $
$ c. \lim\limits_{x\to 1} √5x+4 +6 / x^2-x+3 $
Jawaban
-
$ a. \lim\limits_{x\to -2} 7x + 2 / x^2-3x-4 ⇨ 7(-2) + 2 / -2^2 -3(-2)-4 = -12/6 = -2$
$ b. \lim\limits_{x\to 3} 5x - 3 / √x^2+2x-6 ⇨ 5(3)-3 / √3^2+2(2)-6 = 12 /√9+6-6 = 4 $
$ c. \lim\limits_{x\to 1} (√5x+4) +6 / x^2-x+3 ⇨ (√5+4)+6 / 1-1+3 = 9/3 = 3 $
content copywrite

