
Tentukan nilai limit berikut!
Daftar Isi
Soal
-
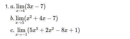
$ a. \lim\limits_{x\to 4} (3x-7) $
$ b. \lim\limits_{x\to 5} (x^2+4x-7) $
$ c. \lim\limits_{x\to -1} (5x^3+2x^2-8x+1) $
Turorial singkat
Aduh gimana tuh cara ngerjainya ๐ซจ
Haha ๐ ga sesusah itu ko, gini gni aku ajarin !!
contoh:
$ \lim\limits_{x\to a} (x+2x-4) $
Dibaca x mendekati a untuk x+2x-4
Terus ngerjainya gimana๐ค
tinggal substitusi x dengan a, hasilnya jadi gini
$ \lim\limits_{x\to a} (a+2a-4) $
Jawab
-
$ a. \lim\limits_{x\to 4} (3x-7) –> 3(4)-7 = 5 $
$ b. \lim\limits_{x\to 5} (x^2+4x-7) –> 5^2+4(5)-7 = 38 $
$ c. \lim\limits_{x\to -1} (5x^3+2x^2-8x+1) –> 5(-1)^3+3+2(-1)^2-8(-1)+1 = 6$
content copywrite

